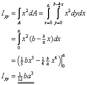
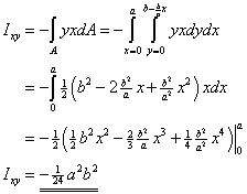
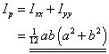
|2005-12-12| e1 # Hauptträgheitsmomente
Die Flächenträgheitsmomente einer Fläche hängen nicht nur von der relativen Lage, sondern auch von der Orietierung des Bezugskoordinatensystems ab. Zur näheren Betrachtung untersuchen wir den Einfluß einer Drehung der Schwerpunktachsen einer Fläche um den Winkel φ ins ξ, η-System.
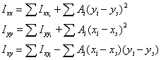
Die Transformationsvorschrift lautet

bzw:


Mit den trigonometrischen Beziehungen

erhalten wir die
Transformationsgleichungen der Flächenträgheitsmomente bei einer Drehung des Bezugskoordinatensystems
Wie wir anhand dieser Gleichungen leicht nachvollziehen können, ist das polare Trägheitsmoment

invariant gegenüber einer Drehung des Bezugssystems. Demnach müssen sich also




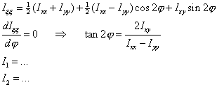
Diese Erkenntnis führt zur Frage, für welches φ die axialen Flächenmomente extremal werden.
Die Bedingung dafür lautet


und liefert jeweils

Dieser Ausdruck besitzt im Bereich von 0° bis 360° zwei Lösungen, die sich um jeweils 90° unterscheiden.
Zur Beantwortung der Frage, welcher Winkel zum Minimum führt, ist die zweite Ableitung zu diskutieren.
Ein Einsetzen der Bedingungsgleichung für φextr liefert schließlich
mit


die
Hauptträgheitsmomente einer Fläche
(Maximum)
(Minimum)
Für die Hauptträgheitsmomente verschwindet das zugehörige Deviationsmoment. Die zugehörigen Koordinatenachsen heißen Hauptzentralachsen der Fläche. Diese stehen stets senkrecht aufeinander.
Zwischen der x-Achse und der Achse 1 des größten Flächenträgheitsmoments liegt der Winkel φ1 mit
Für den praktisch bedeutsamen Sonderfall einer symmetrischen Fläche gilt:


Bei Flächen mit mindestens einer Symmetrieachse ist diese Symmetrieachse gleichzeitig Hauptzentralachse. Die andere ergibt sich zwangsläufig als senkrecht dazu verlaufende Schwerpunktachse.










